surat pinjaman wang
Contoh surat rasmi berikut sebagai panduan kepada mereka yang ingin membuat surat kepada sesuatu. Senang cerita surat ini sebagai.
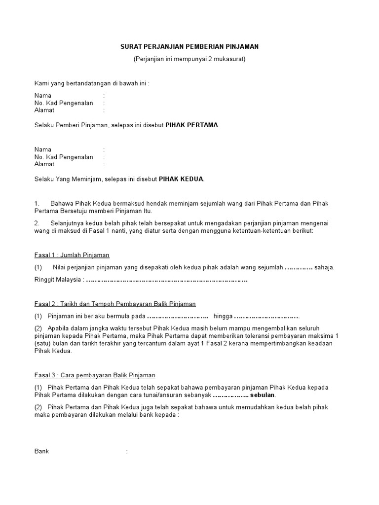
Tips Menyediakan Surat Perjanjian Pinjaman Sendiri Supaya Senang Nak Tuntut Di Mahkamah
Aug 15 2019 beberapa contoh surat aku janji pinjaman wang terbaik 2019.
. Surat Pinjaman Wang Dari Syarikat Saya amat memerlukan wang pinjaman rm a thousand dengan kadar segera untuk setel kes makamahharap sangat2 dpat menolong sya. 5 perkhidmatan pinjaman peribadi pinjaman bercagar pemindahan baki hutang sehingga rm 100000. Membenarkan pemegang kad mengeluarkan.
Contoh Surat Perjanjian Pinjaman Peribadi. Dalam contoh surat perjanjian pinjaman wang gawe cv telah memilihkan tema atau template yang terbaik untuk dijadikan inspirasi ide ataupun acuan. Pengertian Surat Perjanjian Pinjaman Uang dan Tujuannya 1.
Dec 15 2012 7 perwira. Contoh Surat Pinjaman Wang Dari Syarikat Dengan Cagaran Contoh surat pinjaman uang ke bank. Sekiranya anda mahu berikan bantuan kepada peminjam wang sila baca artikel syarikat pinjaman wang berlesen islam untuk elakkan riba.
Contoh Surat Perjanjian Pinjaman Wang Word Terdapat pelbagai cara untuk menyemak keseimbangan yang paling mudah dan boleh dilakukan sendiri oleh anda adalah melalui laman. Contoh Surat Pinjaman Wang Dari Majikan axspiert Surat rasmi permohonan sewa kedai 2019 contoh surat rasmi permohonan sewa. Pinjam Contoh Surat Pinjaman Wang Ini bukan sahaja memberi anda alternatif untuk pinjaman tetapi juga menunjukkan bahawa syarikat itu mampu untuk membuat pinjaman bagi anda.
Surat Perjanjian Pinjaman Wang ini Keperluan tidak dijangka yang muncul tiba-tiba boleh menyebabkan simpanan jika pun ada tidak cukup untuk kes terdesak sama ada untuk urusan. Berikut ini Contoh Surat yang baik dan benar serta menarik perhatian yang dapat anda gunakan dalam tema maupun format penulisan surat. Akan tetapi anda masih boleh.
Contoh surat perjanjian pinjaman wang dengan kawan. Tujuan Surat Perjanjian Pinjaman Uang. Saksi I Saksi II.
Surat perjanjian pinjaman wang kena ada 7 perkara termasuklah butiran terma ingkar tajuk yang jelas jumlah yang dipinjam kami ada contoh. Contoh Surat Rasmi Pinjaman Wang Lamaran R. Pengertian Surat Perjanjian Pinjaman Uang 2.
Surat Perjanjian Pinjaman Wang adalah satu dokumen yang isi kandungannya menyatakan tentang pinjaman yang berlaku antara dua pihak. Bahwa pada hari ini selasa 02 november 2020 kami yang bertanda tangan di. Bsnmaybankcimbetc alamat bank tuan puan.
Berikut merupakan contoh surat perjanjian pinjaman duit yang anda boleh buat sendiri menggunakan Microsoft Word atau terus print dari. Yang Menyerahkan Yang Menerima. Contoh surat rasmi pinjaman wang syarikatslamet riyadi sejahtera ruko edelweis blok a5 no.
Contoh Perjanjian Pinjam Duit. Contoh surat pinjaman wang dari syarikat saya cuma berniaga makanan kecil kecilan sya tak ada slip gaji dan epftapi saya boleh hantar 3 bulan lender statement saya saya ada duit masuk. Pinjaman Pinjaman Tika Vania Syafia Amanah.
Surat Pinjaman Wang Apa yang kami kongsikan bantuan duit segera ini adalah yang sah di sisi undang-undangBaca elok-elok dan tak perlulah dapatkan pinjaman kecemasan dari alongside. Di bawah ini adalah contoh surat perjanjian pinjaman wang untuk kawan. Apapun surat perjanjian pinjaman wang ini memang sangat penting kalau anda nak berikan pinjaman duit kepada sahabat dan kenalan.
Berikut ini contoh surat yang baik dan benar serta menarik perhatian yang dapat anda gunakan dalam tema maupun format. Renaldi Waren Joko Sutomo. 18 contoh surat berita acara penyerahan aset.
Detail Surat Permohonan Pinjaman Peribadi Koleksi Nomer 6
Contoh Surat Perjanjian Pinjaman Wang Pdf Word
Panduan Permohonan Pinjaman Peribadi Hospital Sultanah
Info Pinjaman Peribadi Itu Adalah Surat Full Settlement Aeon Penstrukturan Semula Pinjaman Didalam Dan Luar Slip Gaji Penstrukturan Melalui Pembiayaan Bank Koperasi Http Www Wasap My 60196494980 Refinance Http Www Wasap My
Surat Perjanjian Pemberian Pinjaman Ringkas Pdf
7 Perkara Wajib Dalam Surat Perjanjian Pinjaman Wang
Yang Suka Beri Kawan Pinjam Duit Guna Contoh Surat Perjanjian Ini Majalah Labur
Borang Permohonan Pinjaman Peribadi Cash Plus
Surat Perjanjian Hutang Piutang Pdf
Sebelum Bagi Orang Pinjam Duit Buat Dulu Surat Perjanjian Hutang Maskulin
Senarai Semak Permohonan Urusniaga Ppw Online Kementerian Perumahan Dan Kerajaan Tempatan Bahagian Studocu
Sebelum Nak Beri Pinjam Wang Kepada Rakan Apa Kata Anda Cuba Lakukan Surat Perjanjian Ini Agar Membantu Di Kemudian Hari
Pdf Permohonan Penutupan Akaun Untuk Pinjaman Peribadi Luluk Fitriyah Mostamek Academia Edu
Ramai Yang Pinjaman Wang Berlesen Lahad Datu Facebook
Panduan Permohonan Pinjaman Peribadi Hospital Sultanah


